南北儀器專業提供實驗室儀器設備一站式解決方案
AMSZ-Y數顯鹽度計
一、概述
AMSZ-Y數顯鹽度計是一款采用折射原理設計的數顯高精度光學儀器,小巧美觀,使用方便,LCD大屏幕液晶數字顯示。只要將一滴樣品溶液置于棱鏡上,會在3秒之內顯示測量數值,可以避免人為主觀錯誤的數值判讀。應用于各種醬菜、泡菜、腌制菜、鹽漬食品、海水生物飼養、水族館、生理鹽水制備等領域。
二、功能特點
2.1 自動溫度補償功能。
2.2 電池供電,耗電量低,2分鐘無操作自動關機功能。
2.3 折射率/鹽度轉換。
2.4 無可動部件,靈敏度高,動態線性范圍寬。
2.5 樣品和試劑用量少,分析速度快。
三、產品規格
項目 | 技術范圍 |
測量范圍 | 0.0-28.0% |
分度值 | 0.1%/0.1℃ |
精度 | ±0.2%/1℃ |
使用環境 | 10-40℃ |
樣品量 | ≥0.2ml(3-5)滴 |
測量時間 | ≈3S |
電源 | 2節AAA堿性電池(7號) |
電池壽命 | ≈2000次 |
四、產品外觀

ON/OFF:開/關機 CAL:零點校準
MEAS:測量/長按模式切換 TEMP:溫度測量
五、使用說明
5.1 開機顯示
輕按“ON/OFF”鍵開啟儀器,開機后如果電量不足,則會自動關機,更換電池后方可正常使用。

5.2 模式切換
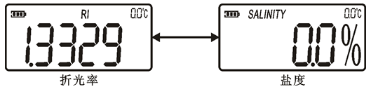
開機狀態,長按“MEAS”鍵切換測量模式(鹽度—折光率RI)。

5.3 儀器測定/測前須知
5.3.1 本儀器應在常溫下工作,測量前應將本儀器與被測液體放置與同一溫度下(溫度相差不應超過2℃),否則將影響測試精度。
5.3.2 檢測時應將被測液體搖晃均勻。
5.3.3 本儀器不可在強光下操作。
5.3.4 測量前應先零點校正。
5.3.5 測量前應先檢查電池電量,電量過低將影響檢測結果。
5.4 測量
D一步:測量時應將棱鏡圓孔滴上純凈水,用軟布擦拭干凈。
D二步:滴入3~5滴溶液至棱鏡圓孔。
D三步:輕按“MEAS”鍵,顯示數值即為測試數據。

5.5 零點校準
5.5.1 將棱鏡圓孔滴上純凈水,多次清洗,用軟布擦干。
5.5.2 滴上純凈水至棱鏡圓孔。
5.5.3 長按“CAL”鍵,直到屏幕出現“DONE”校準成功,否則出現“ER05”。
六、注意事項
6.1 零點校正確保純凈水干凈。
6.2 每次測量前確保棱鏡表面清潔干凈。
6.3 儀器應在干燥常溫下放置,避免長時間在高溫和陽光下暴曬,防止出現誤差,LCD失效。
6.4 不要將儀器放在水流下直接清洗,以免內部進水,損傷內部零件。
6.5 使用時應輕拿輕放,避免棱鏡表面劃傷或碰到。
6.6 為避免待測物因蒸發影響測試精度,取樣及操作在短時間內完成。
6.7 電池電量過低會導致測量數據產生誤差,請及時更換電池。
七、錯誤代碼/幫助
顯示 | 釋義 | 排除措施 |
ER01 | 光傳感異常 | 返廠維修 |
ER02 | 溫傳感異常 | 返廠維修 |
ER03 | 測量值過低 | 確認測量溶液是否正常 |
ER04 | 測量值過高 | 稀釋測量溶液 |
ER05 | 校零溶液不正常 | 確認校準溶液是否正常 |
八、隨機配件
1 | 數顯鹽度計 | 1臺 |
2 | AAA堿性電池(7號) | 2節 |
3 | 說明書 | 1本 |
4 | 合格證 | 1份 |
5 | 眼鏡布 | 2塊 |
6 | 防水橡膠墊 | 1塊 |
7 | 十字螺絲刀 | 1把 |
9 | 滴管 | 2只 |
10 | 十字槽盤頭自攻螺釘M1.9*5 | 4支 |